

不同金屬墊片對熱液金剛石壓腔實驗中原位氧逸度的影響
文章來源:張海燕、王若衡 | 發布時間:2023-08-30 | 【打印】 【關閉】
近日,深海極端環境模擬研究室博士研究生王若衡作為第一作者,周義明研究員作為通訊作者撰寫的論文“In-situ redox conditions in hydrothermal diamond-anvil cell experiments using various metal gaskets” 在線發表在國際學術期刊《Chemical Geology》(中科院二區TOP)。
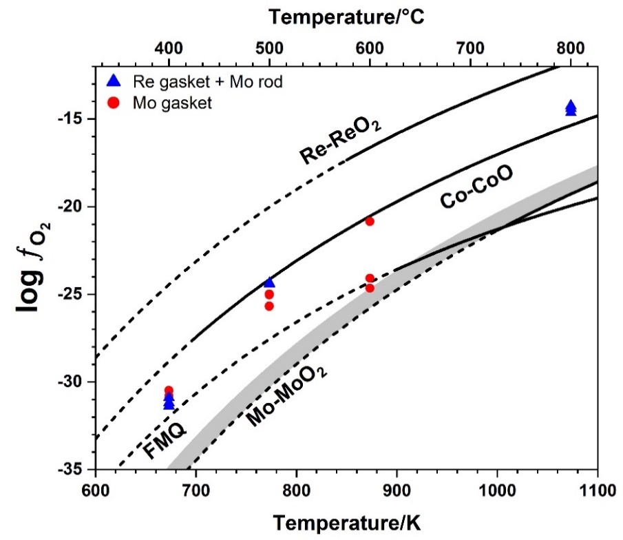
該論文依托實驗室熱液金剛石壓腔與激光拉曼分析平臺,開展了對熱液金剛石壓腔實驗中氧逸度的原位測量和計算,使用多種惰性(Re)和活性金屬(Ni, Co, Mo和W)墊片進行實驗,利用拉曼定量分析技術測量并計算了反應腔中的氫/氧逸度值,證明了在熱液金剛石壓腔實驗中實際氧逸度值與理論值有著較大的偏差(圖1),為高溫高壓熱液實驗中的氧逸度控制技術的開發與應用提供了理論和數據支撐。
圖1. 不同溫度下,Mo-MoO2體系的HDAC實驗中氧逸度值與常用緩沖對的參考氧逸度值比較(紅:鉬片反應腔+水;藍:錸片反應腔+鉬絲+水;黑:不同氧逸度緩沖對在0.1 MPa,不同溫度下的參考氧逸度值,實線代表適用溫度范圍內的值,虛線代表外推的預測值)

Copyright © 中國科學院深海科學與工程研究所 備案證號:瓊ICP備13001552號-1
瓊公網安備 46020102000014號
地址: 三亞市鹿回頭路28號 郵編:572000 網站維護:深海所辦公室 郵箱:office@idsse.ac.cn